去问十五

  • 网站首页
  • 百科知识
  • 百科问答
  • 生活百科
位置:首页> 百科问答>

韩国 1.5 分 彩 师傅—lol伪五杀什么意思?????????

时间:2025-12-18 18:56:00 浏览:887次

韩国 1.5 分 彩 师傅—lol伪五杀什么意思?????????

五杀顾名思议就是在一定时间范围内收获了对方五个人的人头

而伪五杀就是在拿人头的过程中时间间隔超过范围,系统没有判定五杀,但是五个人头都是你拿的。

标签:lol,伪五杀

相关文章

lol2016全球总决赛直播地址 英雄联盟S6世界总决赛时间安排大全

lol2016全球总决赛直播地址 英雄联盟S6世界总决赛时间安排大全

LOL无限ap蛮王出装-ap蛮王出装无限火力2023

LOL无限ap蛮王出装-ap蛮王出装无限火力2023

lols11全球总决赛名额

lols11全球总决赛名额

  • 1 lol里的poke流什么意思 859 阅读
  • 2 LOL召唤师技能大全 856 阅读
  • 3 lols12亚托克斯出装? 849 阅读
  • 4 lol的杰斯技能是什么,要详细 807 阅读
  • 5 lol佛耶戈背景故事 860 阅读

热门文章

推荐文章

假体隆胸最好的医院

假体隆胸最好的医院

妖精的尾巴中的艾琳是谁

妖精的尾巴中的艾琳是谁

红安县00后斗殴事件怎么处理

红安县00后斗殴事件怎么处理

不约叔叔我们不约什么意思?

不约叔叔我们不约什么意思?

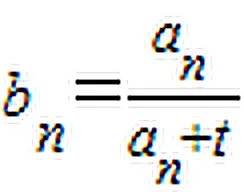
设等差数列{an}的前n项和为Sn,且a5+a13=34,S3=9.(1)求数列{an}的通项公式及前n项和公式;(2)设数列{bn}的通项公式为  ,问:是否存在正整数t,使得b1,b2,bm(m≥3,m∈N)成等差数列?若存在,求出t和m的值;若不存在,请说明理由.

设等差数列{an}的前n项和为Sn,且a5+a13=34,S3=9.(1)求数列{an}的通项公式及前n项和公式;(2)设数列{bn}的通项公式为 ,问:是否存在正整数t,使得b1,b2,bm(m≥3,m∈N)成等差数列?若存在,求出t和m的值;若不存在,请说明理由.

弄假成婚的txt全集下载地址

弄假成婚的txt全集下载地址

htc S710D升级4.0后,不能充电怎么处理

htc S710D升级4.0后,不能充电怎么处理

郑智薰金泰熙主演的电视剧?

郑智薰金泰熙主演的电视剧?

如果有来生 蒲悦 歌词

如果有来生 蒲悦 歌词

直播双十一交易销售额数据

直播双十一交易销售额数据

这里是专业的百科知识问答平台!涵盖生活、科学、历史、文化等热门领域,海量常识问答帮你解惑,更有热门知识话题互动,满足你的求知欲!

CopyRight © 2025 网站地图 - 闽ICP备14018707号-60 - 联系邮箱:1465333496@qq.com