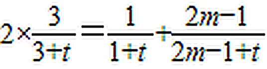
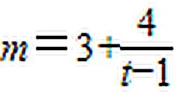
【答案】分析:(1)设出等差数列的公差为d,根据等差数列的性质及通项公式化简a5+a13=34,S3=9,即可求出首项和公差,分别写出通项公式及前n项和的公式即可;(2)把(1)求得的通项公式an代入得到数列{bn}的通项公式,因为b1,b2,bm成等差数列,所以2b2=b1+bm,利用求出的通项公式化简,解出m,因为m与t都为正整数,所以得到此时t和m的值即可.解答:解:(1)设等差数列{an}的公差为d.由已知得即解得.故an=2n-1,Sn=n2(2)由(1)知.要使b1,b2,bm成等差数列,必须2b2=b1+bm,即,(8分).移项得:=-=,整理得,因为m,t为正整数,所以t只能取2,3,5.当t=2时,m=7;当t=3时,m=5;当t=5时,m=4.故存在正整数t,使得b1,b2,bm成等差数列.点评:此题考查学生灵活运用等差数列的性质、通项公式及前n项和的公式化简求值,是一道中档题.

【答案】分析:(1)设出等差数列的公差为d,根据等差数列的性质及通项公式化简a5+a13=34,S3=9,即可求出首项和公差,分别写出通项公式及前n项和的公式即可;(2)把(1)求得的通项公式an代入得到数列{bn}的通项公式,因为b1,b2,bm成等差数列,所以2b2=b1+bm,利用求出的通项公式化简,解出m,因为m与t都为正整数,所以得到此时t和m的值即可.解答:解:(1)设等差数列{an}的公差为d.由已知得即解得.故an=2n-1,Sn=n2(2)由(1)知.要使b1,b2,bm成等差数列,必须2b2=b1+bm,即,(8分).移项得:=-=,整理得,因为m,t为正整数,所以t只能取2,3,5.当t=2时,m=7;当t=3时,m=5;当t=5时,m=4.故存在正整数t,使得b1,b2,bm成等差数列.点评:此题考查学生灵活运用等差数列的性质、通项公式及前n项和的公式化简求值,是一道中档题.

【答案】分析:(1)设出等差数列的公差为d,根据等差数列的性质及通项公式化简a5+a13=34,S3=9,即可求出首项和公差,分别写出通项公式及前n项和的公式即可;(2)把(1)求得的通项公式an代入得到数列{bn}的通项公式,因为b1,b2,bm成等差数列,所以2b2=b1+bm,利用求出的通项公式化简,解出m,因为m与t都为正整数,所以得到此时t和m的值即可.解答:解:(1)设等差数列{an}的公差为d.由已知得即解得.故an=2n-1,Sn=n2(2)由(1)知.要使b1,b2,bm成等差数列,必须2b2=b1+bm,即,(8分).移项得:=-=,整理得,因为m,t为正整数,所以t只能取2,3,5.当t=2时,m=7;当t=3时,m=5;当t=5时,m=4.故存在正整数t,使得b1,b2,bm成等差数列.点评:此题考查学生灵活运用等差数列的性质、通项公式及前n项和的公式化简求值,是一道中档题.

【答案】分析:(1)设出等差数列的公差为d,根据等差数列的性质及通项公式化简a5+a13=34,S3=9,即可求出首项和公差,分别写出通项公式及前n项和的公式即可;(2)把(1)求得的通项公式an代入得到数列{bn}的通项公式,因为b1,b2,bm成等差数列,所以2b2=b1+bm,利用求出的通项公式化简,解出m,因为m与t都为正整数,所以得到此时t和m的值即可.解答:解:(1)设等差数列{an}的公差为d.由已知得即解得.故an=2n-1,Sn=n2(2)由(1)知.要使b1,b2,bm成等差数列,必须2b2=b1+bm,即,(8分).移项得:=-=,整理得,因为m,t为正整数,所以t只能取2,3,5.当t=2时,m=7;当t=3时,m=5;当t=5时,m=4.故存在正整数t,使得b1,b2,bm成等差数列.点评:此题考查学生灵活运用等差数列的性质、通项公式及前n项和的公式化简求值,是一道中档题.

【答案】分析:(1)设出等差数列的公差为d,根据等差数列的性质及通项公式化简a5+a13=34,S3=9,即可求出首项和公差,分别写出通项公式及前n项和的公式即可;(2)把(1)求得的通项公式an代入得到数列{bn}的通项公式,因为b1,b2,bm成等差数列,所以2b2=b1+bm,利用求出的通项公式化简,解出m,因为m与t都为正整数,所以得到此时t和m的值即可.解答:解:(1)设等差数列{an}的公差为d.由已知得即解得.故an=2n-1,Sn=n2(2)由(1)知.要使b1,b2,bm成等差数列,必须2b2=b1+bm,即,(8分).移项得:=-=,整理得,因为m,t为正整数,所以t只能取2,3,5.当t=2时,m=7;当t=3时,m=5;当t=5时,m=4.故存在正整数t,使得b1,b2,bm成等差数列.点评:此题考查学生灵活运用等差数列的性质、通项公式及前n项和的公式化简求值,是一道中档题.

【答案】分析:(1)设出等差数列的公差为d,根据等差数列的性质及通项公式化简a5+a13=34,S3=9,即可求出首项和公差,分别写出通项公式及前n项和的公式即可;(2)把(1)求得的通项公式an代入得到数列{bn}的通项公式,因为b1,b2,bm成等差数列,所以2b2=b1+bm,利用求出的通项公式化简,解出m,因为m与t都为正整数,所以得到此时t和m的值即可.解答:解:(1)设等差数列{an}的公差为d.由已知得即解得.故an=2n-1,Sn=n2(2)由(1)知.要使b1,b2,bm成等差数列,必须2b2=b1+bm,即,(8分).移项得:=-=,整理得,因为m,t为正整数,所以t只能取2,3,5.当t=2时,m=7;当t=3时,m=5;当t=5时,m=4.故存在正整数t,使得b1,b2,bm成等差数列.点评:此题考查学生灵活运用等差数列的性质、通项公式及前n项和的公式化简求值,是一道中档题.

【答案】分析:(1)设出等差数列的公差为d,根据等差数列的性质及通项公式化简a5+a13=34,S3=9,即可求出首项和公差,分别写出通项公式及前n项和的公式即可;(2)把(1)求得的通项公式an代入得到数列{bn}的通项公式,因为b1,b2,bm成等差数列,所以2b2=b1+bm,利用求出的通项公式化简,解出m,因为m与t都为正整数,所以得到此时t和m的值即可.解答:解:(1)设等差数列{an}的公差为d.由已知得即解得.故an=2n-1,Sn=n2(2)由(1)知.要使b1,b2,bm成等差数列,必须2b2=b1+bm,即,(8分).移项得:=-=,整理得,因为m,t为正整数,所以t只能取2,3,5.当t=2时,m=7;当t=3时,m=5;当t=5时,m=4.故存在正整数t,使得b1,b2,bm成等差数列.点评:此题考查学生灵活运用等差数列的性质、通项公式及前n项和的公式化简求值,是一道中档题.

【答案】分析:(1)设出等差数列的公差为d,根据等差数列的性质及通项公式化简a5+a13=34,S3=9,即可求出首项和公差,分别写出通项公式及前n项和的公式即可;(2)把(1)求得的通项公式an代入得到数列{bn}的通项公式,因为b1,b2,bm成等差数列,所以2b2=b1+bm,利用求出的通项公式化简,解出m,因为m与t都为正整数,所以得到此时t和m的值即可.解答:解:(1)设等差数列{an}的公差为d.由已知得即解得.故an=2n-1,Sn=n2(2)由(1)知.要使b1,b2,bm成等差数列,必须2b2=b1+bm,即,(8分).移项得:=-=,整理得,因为m,t为正整数,所以t只能取2,3,5.当t=2时,m=7;当t=3时,m=5;当t=5时,m=4.故存在正整数t,使得b1,b2,bm成等差数列.点评:此题考查学生灵活运用等差数列的性质、通项公式及前n项和的公式化简求值,是一道中档题.

【答案】分析:(1)设出等差数列的公差为d,根据等差数列的性质及通项公式化简a5+a13=34,S3=9,即可求出首项和公差,分别写出通项公式及前n项和的公式即可;(2)把(1)求得的通项公式an代入得到数列{bn}的通项公式,因为b1,b2,bm成等差数列,所以2b2=b1+bm,利用求出的通项公式化简,解出m,因为m与t都为正整数,所以得到此时t和m的值即可.解答:解:(1)设等差数列{an}的公差为d.由已知得即解得.故an=2n-1,Sn=n2(2)由(1)知.要使b1,b2,bm成等差数列,必须2b2=b1+bm,即,(8分).移项得:=-=,整理得,因为m,t为正整数,所以t只能取2,3,5.当t=2时,m=7;当t=3时,m=5;当t=5时,m=4.故存在正整数t,使得b1,b2,bm成等差数列.点评:此题考查学生灵活运用等差数列的性质、通项公式及前n项和的公式化简求值,是一道中档题.

【答案】分析:(1)设出等差数列的公差为d,根据等差数列的性质及通项公式化简a5+a13=34,S3=9,即可求出首项和公差,分别写出通项公式及前n项和的公式即可;(2)把(1)求得的通项公式an代入得到数列{bn}的通项公式,因为b1,b2,bm成等差数列,所以2b2=b1+bm,利用求出的通项公式化简,解出m,因为m与t都为正整数,所以得到此时t和m的值即可.解答:解:(1)设等差数列{an}的公差为d.由已知得即解得.故an=2n-1,Sn=n2(2)由(1)知.要使b1,b2,bm成等差数列,必须2b2=b1+bm,即,(8分).移项得:=-=,整理得,因为m,t为正整数,所以t只能取2,3,5.当t=2时,m=7;当t=3时,m=5;当t=5时,m=4.故存在正整数t,使得b1,b2,bm成等差数列.点评:此题考查学生灵活运用等差数列的性质、通项公式及前n项和的公式化简求值,是一道中档题.

【答案】分析:(1)设出等差数列的公差为d,根据等差数列的性质及通项公式化简a5+a13=34,S3=9,即可求出首项和公差,分别写出通项公式及前n项和的公式即可;(2)把(1)求得的通项公式an代入得到数列{bn}的通项公式,因为b1,b2,bm成等差数列,所以2b2=b1+bm,利用求出的通项公式化简,解出m,因为m与t都为正整数,所以得到此时t和m的值即可.解答:解:(1)设等差数列{an}的公差为d.由已知得即解得.故an=2n-1,Sn=n2(2)由(1)知.要使b1,b2,bm成等差数列,必须2b2=b1+bm,即,(8分).移项得:=-=,整理得,因为m,t为正整数,所以t只能取2,3,5.当t=2时,m=7;当t=3时,m=5;当t=5时,m=4.故存在正整数t,使得b1,b2,bm成等差数列.点评:此题考查学生灵活运用等差数列的性质、通项公式及前n项和的公式化简求值,是一道中档题.

【答案】分析:(1)设出等差数列的公差为d,根据等差数列的性质及通项公式化简a5+a13=34,S3=9,即可求出首项和公差,分别写出通项公式及前n项和的公式即可;(2)把(1)求得的通项公式an代入得到数列{bn}的通项公式,因为b1,b2,bm成等差数列,所以2b2=b1+bm,利用求出的通项公式化简,解出m,因为m与t都为正整数,所以得到此时t和m的值即可.解答:解:(1)设等差数列{an}的公差为d.由已知得即解得.故an=2n-1,Sn=n2(2)由(1)知.要使b1,b2,bm成等差数列,必须2b2=b1+bm,即,(8分).移项得:=-=,整理得,因为m,t为正整数,所以t只能取2,3,5.当t=2时,m=7;当t=3时,m=5;当t=5时,m=4.故存在正整数t,使得b1,b2,bm成等差数列.点评:此题考查学生灵活运用等差数列的性质、通项公式及前n项和的公式化简求值,是一道中档题.
