MATLAB绘制等高线图的命令组合为:contour、clabel。首相通过help或者doc 命令查看相关命令的说明以及简单事例。




命令的常用格式:[C,h] = contour3(x,y,z,n):根据x,y,z绘制n条三维登高线,返回登高线数组和图形的句柄值。clabel(C,h):根据等高线数组C和图形句柄标注等高线的值。
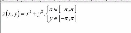
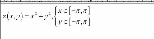
下图一为测试事例,下图二为事例对应的代码,下图三为选择要显示的等高线,下图四为结果图。




同时我们不仅可以画空间图形的三等高线,我们还可以使用contour命令,注意命令后面没有数字3了。
三维空间图形的二维等高线面。我们使用相同的例子测试二维登二维等高线。下图一为测试事例,下图二为事例对应的代码,下图三为选择要显示的等高线,下图四为结果图




注意:在第三步与第五步中手动选择要显示的等高线,点击完后,按回车键就剩生成最终的结果图了。
