在史蒂芬·霍金还未成为博士的时候,他是如何看待黑洞理论的?相信不少人都对此感兴趣。这或许也是霍金博士论文公布后剑桥大学网站服务器瘫痪的一大主因。
当地时间10月23日,为庆祝“开放获取周”,剑桥大学于本周一(23日)将霍金于1966年、24岁时撰写的博士论文《宇宙膨胀的性质》免费发布在学校网站上,供公众下载阅读。
这是今年75岁的霍金第一次向公众开放论文。通过公开论文,霍金希望能够帮助激发大众对太空领域的兴趣,分享其研究成果。
这篇名为“宇宙扩张的属性”的论文,共有134页。论文中,霍金利用宇宙的膨胀理论来挑战现有的引力理论,他认为,由于早期的摄动,星系是无法形成的。霍金还提供了一种引力辐射和膨胀的模型,表明时空奇异性是“不可避免的”。
听上去是不是有些生涩难懂,尽管如此,大众依旧对这位传奇的物理学大师充满了好奇。剑桥大学表示,霍金决定公开论文下载后,在不到24小时的时间里,这篇文章被下载了近6万次。这也导致了剑桥大学的服务器一度瘫痪。“因此,访问我们网站的用户可能会发现它比平时慢,有时甚至完全无法打开。”,发言人斯图尔特·罗伯特说。

CNN报道截图
“我希望能激励世界各地的人们仰望星空,而不是只盯着他们的脚下。让他们想知道我们在宇宙中所处的位置,并试着去理解宇宙。不仅是我的研究,而是每一个伟大的、具有探索精神的研究,对于任何人来说,在世界上的任何地方,都应该可以自由不受阻碍的访问。”霍金发文写道:“每一代人都站在前人的肩膀上,就像我在剑桥的年轻博士研究一样,受到了牛顿、麦克斯韦尔和爱因斯坦的启发。”霍金如是解释论文开放。

剑桥大学网站上霍金博士论文《宇宙膨胀的性质》下载页面 现已恢复正常下载

霍金的博士论文部分截图。手写的句子为:“这篇论文是我的原创工作。”
图源: Stephen Hawking/Cambridge University Library
21岁时,霍金患上肌萎缩侧索硬化症。完成这篇论文时,他24岁,当时就读于剑桥大学三一学院。从公开的论文看,病情对当时的他已经产生了影响。论文上可以看到他当时写得略显扭曲的字迹:“这篇论文是我的原创性工作。”

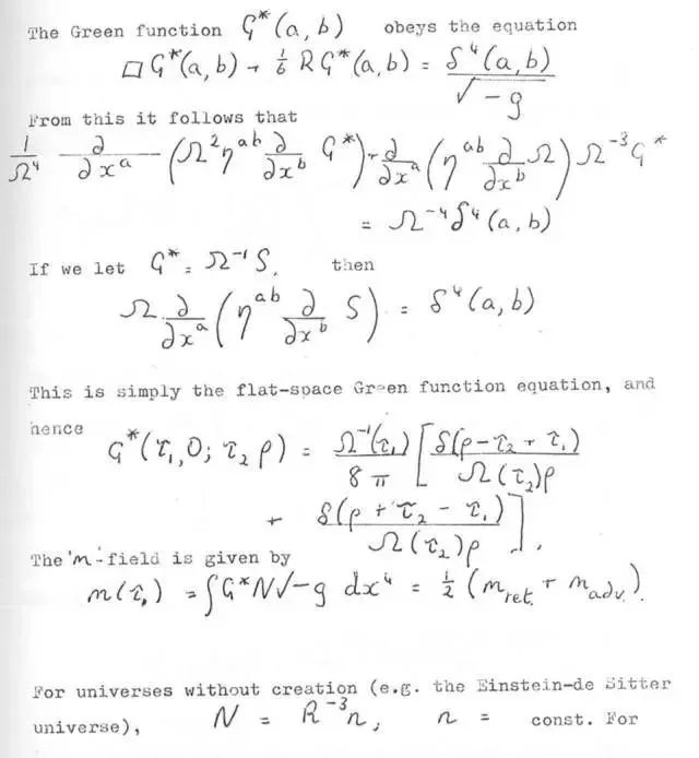
论文中的手写公式。
图源: Stephen Hawking/Cambridge University Library
虽然最初的诊断结果称,时年21岁的霍金仅剩下两年寿命,但半个多世纪以来,霍金不仅顺利完成博士论文,同时还成为剑桥大学教授。他在1988年出版的《时间简史》是世界上最为成功的科普书籍,被翻译成40多种语言,销量超过千万。
剑桥大学表示,在论文公开前,大众要想完整阅读霍金的博士论文,需要亲自跑到图书馆,或者支付65英镑(85美元)来获得一份扫描版。霍金的这篇论文是其开放存储库中“被要求最多的”,他们收到了“数百份”的请求。
除了激励大众对星空的研究热情外,霍金公开博士的论文也是在鼓励的剑桥大学的学生们。从现在开始,所有剑桥大学的毕业生都必须提供他们论文的电子版,霍金的举动可能会给他们信心,让他们会知道,公开自己的论文并没有想象中那么可怕。
这件事情充分证明,对于普罗大众来说,老霍同志等于科学之神。。。
无图文真相,先贴上霍老先生的论文,大家看看感觉怎么样。。。



你能看懂么。。。

不懂英文的估计啥都看不懂,懂英文的估计也就能看懂第一页的致谢吧。。。

当然,像我这种既懂英文,又懂物理的人,算了一下,答案和霍金一样,他算的是对的。。。

其实我也没看懂啊。。。
更多的人的感觉应该是:求知欲让我点了进来,知识量让我退了出去。
或者是:装逼让我点了进来,智商逼我退了出去。。。

为什么霍老先生的文章如此吸引人,以至于科学小白们趋之若鹜的下载这篇连物理学专业的同志们都看不懂的文章?因为霍金这个名字代表了太多的东西:先看看人们印象中的霍金吧--在世的最伟大的科学家,宇宙之王,现代爱因斯坦,自牛顿以来最伟大的物理学家,思考机器,宇宙的设计师。。。
而现实的中的霍金呢?比起这些给伟大科学家的称号,霍老先生更适合给一个伟大的科普家的称号。霍金的科学研究主要在黑洞理论,和彭罗斯一道证明了著名的奇性定理,为此他们共同获得了1988年的沃尔夫物理奖。他还证明了黑洞的面积定理,即随着时间的增加黑洞的面积不减。从科学成就上的角度来评估,我觉得他比杨振宁同志还差得远。但是他的科普书籍—时间简史,果壳中的宇宙,大设计等等却让普罗大众对宇宙产生了兴趣,也给他带来了大众中的名声。

更重要的还有他传奇的人身经历,以及各种电影的添油加醋,以及他本人也极具娱乐精神,配合媒体宣传,所以才有了现在的“宇宙之王”--霍金。
以上。
霍金博士论文 phD.5437 的摘要:

第一章:Hoyle-Narlikar 引力理论
第二章:微扰
第三章:膨胀宇宙中的引力波
第四章:奇点

这篇论文研究内容为膨胀宇宙的含义和影响。在第1章中,点明了这种扩张对于Hoyle-Narlikar 引力理论造成了严重困难。第2章讨论了扩展均匀和各向同性的宇宙的扰动。得出的结论是星系不能由于最初微小的扰动的增长而形成。在这种近似中也研究了引力辐射的传播和吸收。在第3章中,通过渐近扩展的方法来检验扩张宇宙中的引力辐射。证明「剥离」行为和渐近组是衍生的。第四章讨论宇宙模型中奇点的发生。
下面是正文部分的前三页



没事,看不懂就对了。博士论文不是拿来科普的。
其实就物理造诣而言,霍金并不能算是当代最伟大的物理学家。从其至今未获得诺奖这件事就可以有大致的判断。但因为《时间简史》这本书以及他在科普工作上作出的努力。霍金可以说成为了当代热度最高、名气最大的物理学家。
而有一位物理学家,不但曾获得诺贝尔物理学奖,而且拥有 13 项诺奖级别的成果。

但有些人因为连论文标题都看不懂,就只记住了他和翁帆的故事,只记住了他当年为什么没有回国。
没错,我说的就是杨振宁,目前在世的最伟大的物理学家,没有之一。
其实我想表达什么呢?不是霍金被过誉了,而是那些比他伟大得多的物理学家,没有得到应有的尊重。
我看,这是霍金的理论还不确切。例如他的地球毁灭的理论。时间那样确切,好像一切都是安排好了似得。
如果霍金的理论是一个科学发现,为什么他是唯一的发现者?他可以第一,但不应该是唯一,唯一那就有问题。因为,说明他的理论有待完善。
世界上只有艺术作品可以唯一。科学是能够普遍认知的。
科学必须有依据,可以反复证明,结果一致。你霍金可以第一个发现地球2032年遭外星袭击,但是不会空想,没有依据吧?
既然有依据,那全世界至少500名天体科学家也应该同时可以证明啊?
现在有多少科学家都证明地球活不下去了?
没有吧?所以,大众有一种“人类末日情结”也就不奇怪了。因为,霍金是唯一的“发现者”,大众不找他找谁?
科学和艺术有很大的相似性:当科学还是猜想阶段的时候,他就是可供欣赏的一个艺术作品,因而就会是大众“都懂”的“科学”。而艺术如果只有认识价值,他更像是科学,因而也索然无味。
但愿,霍金的科学不是一个艺术作品。

世界末日的言论经常流出,但是最后证明都是荒诞不经的谣言,但是有一个人说的却让很多人都感到十分恐慌。
最近霍金公开了博士论文,说人类将于2032年灭亡,因为霍金是通过理论依据来推理,最终才得到人类将于2032年灭亡这么一个结论。

霍金称这次小行星撞击地球,跟以往的小行星撞地球是不一样的,据说,这次的行星撞地球的威力是平时的100倍,相当于3000多颗核弹同时撞击地球,这样的后果是我们所无法想象的,后果严重到可能导致地球毁灭。
现在霍金和科学家们正在想对策,来对抗即将到来的小行星核弹撞击。并不是第一次说地球毁灭的预言,这次却是科学家觉得最可信的,因为霍金的预言都不是空穴来风,都是有科学依据的,霍金还表示地球的这场灾难是在所难免的。
但有学者表示,霍金之说更多的不是建立在相关科学依据上,而应该理解为“霍大师对人类的一个忠告”。也有网友认为是“闲扯事”,但大部分的网友“末日情绪”被再次点燃。另外,霍金还预言外星人可能会为资源入侵地球。
霍金预言的时间表:
2032年 地球进入冰河时代,全球气候变暖。
2060年 人类必须离开地球。
2100年 人类进入外太空,新人种出现。
2215年地球将面临灾难性毁灭。
2600年 地球变成炽热的“火球”。
似乎离我们很近,但对于我们普通人来说,过好当下才是最重要的。
唉,想想还觉得国内悲哀。英国是因为霍金公开博士论文这种科学的东西导致服务器瘫痪,对比下,国内却因为鹿晗公布恋情导致微博服务器瘫痪,鲜有人对科学抱有这样的态度。
什么是科学?科学就是理论与实践的无缝融合,并在人类文明进程中起着引领和推动作用,使人类从野蛮走向文明,从愚昧走向智慧。霍金的预测或者预言是科学吗?答案是N0!他研究的领域在四十年前取得了一些成果,引起了科学界的关注,时至今日,量子,引力波等新名词早已淹没了宇宙黑洞,膨胀,爆炸论......

据英国媒体报道,世界知名物理学家史蒂芬·霍金23日公开了其博士论文,大批读者希望一睹为快,然而巨大的访问量导致英国剑桥大学网站瘫痪。要知道此前霍金的论文只能在剑桥大学图书馆里读到,或者需要支付86美元来获取电子版。
剑桥大学10月23日发表声明称,霍金撰写的博士论文《宇宙膨胀的性质》已经面向全球免费开放,所有人都可以进入剑桥大学的“阿波罗”开放存取资源库阅读并下载该文章。该校称,一天之内有6万余人登录网站阅读或下载霍金的论文。
霍金说:“这么多人想下载我的论文,真好,希望不会让大家失望。”他表示,希望通过公开学术论文来激励人们去思索人类在宇宙中的位置,建立对太空世界的认知,同时他呼吁其他科学家也这样做。
老霍是博士,咱家是闲士。等级不同,认识不问,等等不同,不能理解老霍同志的大论。不过对于老人家的未日之说,实在不认同。世界永无未曰是咱家的观点。相信人力会改变天意,而人也能自律。改变时空。人,是世界的客人。神是主人。
这篇文章,如果不是霍金本人公开,也不用霍金的名义公开,而是以他一个学生的名义公开,还能这样火吗?这里不光有名人效应。更有对传统的认同。冰山虽然光艳,冰山下面的冰山,才是真正托起光艳的根本。正是因为霍金有长期的理论基础,有大量的被人认知的高深理论,才形成了今天的霍金效应。

