圆的周长公式:

圆是一种几何图形。根据定义,通常用圆规来画圆。 同圆内圆的直径、半径长度永远相同,圆有无数条半径和无数条直径。圆是轴对称、中心对称图形。对称轴是直径所在的直线。
在同一平面内到定点的距离等于定长的点的集合叫做圆(circle)。这个定点叫做圆的圆心。
圆形一周的长度,就是圆的周长。能够重合的两个圆叫等圆,等圆有无数条对称轴。
圆是一个正n边形(n为无限大的正整数),边长无限接近0但永远无法等于0。

扩展资料圆的性质:
1、圆是轴对称图形,其对称轴是任意一条通过圆心的直线。圆也是中心对称图形,其对称中心是圆心。
垂径定理:垂直于弦的直径平分这条弦,并且平分弦所对的2条弧。
垂径定理的逆定理:平分弦(不是直径)的直径垂直于弦,并且平分弦所对的2条弧。
2、有关圆周角和圆心角的性质和定理。
在同圆或等圆中,如果两个圆心角,两个圆周角,两组弧,两条弦,两条弦心距中有一组量相等,那么他们所对应的其余各组量都分别相等。
在同圆或等圆中,相等的弧所对的圆周角等于它所对的圆心角的一半(圆周角与圆心角在弦的同侧)。
3、弦切角的度数等于它所夹的弧的度数的一半。
4、圆内角的度数等于这个角所对的弧的度数之和的一半。
5、圆外角的度数等于这个角所截两段弧的度数之差的一半。
6、周长相等,圆面积比正方形、长方形、三角形的面积大。
圆的周长就是:

或者

(其中

是圆的直径,

是圆的半径)。
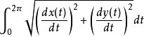
圆的周长公式推导(此方面涉及到弧微分)
设圆的参数方程为

,

圆在一周内周长的积分

代入,可得



即


扩展资料圆的面积计算公式:

或

或

圆的性质
(1)圆是轴对称图形,其对称轴是任意一条通过圆心的直线。圆也是中心对称图形,其对称中心是圆心。
(2)直径所对的圆周角是直角。90度的圆周角所对的弦是直径。
(3)一个三角形有唯一确定的外接圆和内切圆。外接圆圆心是三角形各边垂直平分线的交点,到三角形三个顶点距离相等。
(4)如果两圆相交,那么连接两圆圆心的线段(直线也可)垂直平分公共弦。
(5)弦切角的度数等于它所夹的弧的度数的一半。
(6)圆内角的度数等于这个角所对的弧的度数之和的一半。
(7)圆外角的度数等于这个角所截两段弧的度数之差的一半。
(8)周长相等,圆面积比正方形、长方形、三角形的面积大。
圆的周长公式:周长L=2πr(其中r为圆的半径,π为圆周率,通常情况下取3.14)
圆周率(Pi)是圆的周长与直径的比值,一般用希腊字母π表示,是一个在数学及物理学中普遍存在的数学常数。
π也等于圆形之面积与半径平方之比。是精确计算圆周长、圆面积、球体积等几何形状的关键值。 在分析学里,π可以严格地定义为满足sin x = 0的最小正实数x。

扩展资料:
在同一平面内,到定点的距离等于定长的点的集合叫做圆。圆可以表示为集合{M||MO|=r},圆的标准方程是(x - a) ² + (y - b) ² = r ²。其中,o是圆心,r 是半径。
平面内一动点到两定点的距离之比(或距离的平方之比),等于一个不为1的常数,则此动点的轨迹是圆。
证明:点坐标为(x1,y1)与(x2,y2),动点为(x,y),距离比为k,由两点距离公式。满足方程(x-x1)2 + (y-y1)2 = k2×[ (x-x2)2 + (y-y2)2] 当k不为1时,整理得到一个圆的方程。
几何法:假设定点为A,B,动点为P,满足|PA|/|PB| = k(k≠1),过P点作角APB的内、外角平分线,交AB与AB的延长线于C,D两点由角平分线性质,角CPD=90°。
由角平分线定理:PA/PB = AC/BC = AD/BD =k,注意到唯一k确定了C和D的位置,C在线段AB内,D在AB延长线上,对于所有的P,P在以CD为直径的圆上。
圆的周长:

圆周长的一半 c=πr
半圆的周长 c=πr+2r
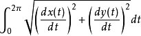
圆的周长公式推导:
设圆的参数方程为


圆在一周内周长的积分

代入,可得



即:

在一个平面内,一动点以一定点为中心,以一定长度为距离旋转一周所形成的封闭曲线叫做圆。圆有无数个点。
在同一平面内,到定点的距离等于定长的点的集合叫做圆。圆可以表示为集合{M||MO|=r},圆的标准方程是(x - a) ² + (y - b) ² = r ²。其中,o是圆心,r 是半径。

扩展资料:
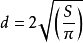
圆的面积公式
圆的面积计算公式:

或

圆的面积求直径:

把圆分成若干等份,可以拼成一个近似的长方形。长方形的宽相当于圆的半径。
圆锥侧面积:

(l为母线长)
参考资料:
圆的周长计算公式是:C=π*d或者C=2π*r,其中d是圆的直径,r是圆的半径,π是圆周率。
1、环绕有限面积的区域边缘的长度积分,叫做周长,也就是图形一周的长度。周长用字母C表示。
2、课程标准对于“周长的认识”这一具体的课程内容,在内容标准中明确指出了目标要求,即“指出并测量具体图形的周长,探索并掌握长方形、正方形的周长公式”。
3、连接圆心和圆上的任意一点的线段叫做半径,字母表示为r(radius)。
4、通过圆心并且两端都在圆上的线段叫做直径,字母表示为d(diameter)。直径所在的直线是圆的对称轴。

扩展资料:
1、圆是一种几何图形。根据定义,通常用圆规来画圆。 同圆内圆的直径、半径长度永远相同,圆有无数条半径和无数条直径。圆是轴对称、中心对称图形。
2、大于半圆的弧称为优弧,小于半圆的弧称为劣弧,所以半圆既不是优弧,也不是劣弧。优弧一般用三个字母表示,劣弧一般用两个字母表示。优弧是所对圆心角大于180度的弧,劣弧是所对圆心角小于180度的弧。
3、圆是轴对称图形,其对称轴是任意一条通过圆心的直线。圆也是中心对称图形,其对称中心是圆心。在同圆或等圆中,相等的弧所对的圆周角等于它所对的圆心角的一半(圆周角与圆心角在弦的同侧)。
4、圆形,是一个看来简单,实际上是十分奇妙的形状。古代人最早是从太阳、阴历十五的月亮得到圆的概念的。在一万八千年前的山顶洞人曾经在兽牙、砾石和石珠上钻孔,那些孔有的就很像圆。
参考资料:
