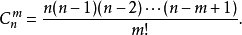
组合(combination),数学的重要概念之一。从n个不同元素中每次取出m个不同元素(0≤m≤n),不管其顺序合成一组,称为从n个元素中不重复地选取m个元素的一个组合。所有这样的组合的总数称为组合数,这个组合数的计算公式为

或者

n元集合A中不重复地抽取m个元素作成的一个组合实质上是A的一个m元子集合。
C(1.2)=2。
扩展资料
排列组合计算方法如下:
排列A(n,m)=n×(n-1).(n-m+1)=n!/(n-m)!(n为下标,m为上标,以下同)
组合C(n,m)=P(n,m)/P(m,m) =n!/m!(n-m)!;
例如:
A(4,2)=4!/2!=4*3=12
C(4,2)=4!/(2!*2!)=4*3/(2*1)=6
回答:
网上的规范写法是,大数在前,小数在后。故应该写成C(2, 1)。
一般地,C(n, k) = n(n-1)(n-2)...(n-k+1) / k!, 其中k≤n。
例如,C(12, 3) = 12x11x10/3! = 1320/(3x2x1) = 1320/6 = 220。
C(1,2)=2
C(2,4)=4*3/(2*1)=6
C(2,7)=7*6/(2*1)=21
C(3,5)=5*4*3/(3*2*1)=10
C(3,7)=7*6*5/(3*2*1)=35
C(2,100)=100*99/(2*1)=4950
C(4,80)=80*79*78*77/(4*3*2*1)
不多写了,总结一下规律吧
