“熵”的通俗理解就是“混乱程度”。
简单的说熵是衡量我们这个世界中事物混乱程度的一个指标,热力学第二定律中认为孤立系统总是存在从高有序度转变成低有序度的趋势,这就是熵增的原理。
系统由有序转变为无序被的过程是熵增,比如系的鞋带会开;家中铺的很整齐的床单睡过后会变乱。
“热力学第二定律”热量可以自发地从较热的物体传递到较冷的物体,但不可能自发地从较冷的物体传递到较热的物体。
比如一滴墨滴进清水,清水会变黑;一个热的物体和一个冷的物体放在一起,热的物体会变冷,冷的物体会变热.....物理系统总是会趋向平衡状态。
一个系统的温度是不均匀的,它慢慢趋向均匀;一个溶液的浓度是不均匀的,同样它会慢慢趋向均匀。

扩展资料熵的定义:
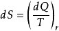
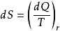
1.经典热力学:1865年,克劳休斯将发现的新的状态函数命名为,用增量定义为

,式中T为物质的热力学温度;dQ为熵增过程中加入物质的热量,下标“r”是英文单词“reversible‘’的缩写,表示加热过程所引起的变化过程是可逆的。
若过程是不可逆的,则

,下标“ir”是英文单词“ireversible‘’的缩写,表示表示加热过程所引起的变化过程是不可逆的。
合并以上两式可得

,此式叫做克劳休斯不等式,是热力学中第二定律最普遍的表达式。
2.统计热力学:熵的大小与体系的微观状态Ω有关,即S=klnΩ,其中k为玻尔兹曼常量,k=1.3807x10-23J·K-1。体系微观状态Ω是大量质点的体系经统计规律而得到的热力学概率,因此熵有统计意义,对只有几个、几十或几百分子的体系就无所谓熵。
参考资料来源:
“熵”的通俗理解就是“混乱程度”。简单的说熵是衡量我们这个世界中事物混乱程度的一个指标,热力学第二定律中认为孤立系统总是存在从高有序度转变成低有序度的趋势,这就是熵增的原理。

(一)通过日常事例理解
沸水→常温水:沸水从刚开始的一直在冒泡(混乱程度大,所以熵大),会自然的慢慢冷却变成平静的常温水(混乱程度较稳定,所以熵小)。


(二)通过汉字来理解
“火”字偏旁,说明熵与温度,热量有关系;“商”,数学上指除法运算中的得数。公式如下:

扩展资料:
状态函数:熵S是状态函数,具有加和(容量)性质,是广度量非守恒量,因为其定义式中的热量与物质的量成正比,但确定的状态有确定量。其变化量ΔS只决定于体系的始终态而与过程可逆与否无关。由于体系熵的变化值等于可逆过程热温商δQ/T之和,所以只能通过可逆过程求的体系的熵变。孤立体系的可逆变化或绝热可逆变化过程ΔS=0。
宏观量:熵是宏观量,是构成体系的大量微观离子集体表现出来的性质。它包括分子的平动、振动、转动、电子运动及核自旋运动所贡献的熵,谈论个别微观粒子的熵无意义。
绝对值:熵的绝对值不能由热力学第二定律确定。可根据量热数据由第三定律确定熵的绝对值,叫规定熵或量热法。还可由分子的微观结构数据用统计热力学的方法计算出熵的绝对值,叫统计熵或光谱熵。
应用:熵最初是根据热力学第二定律引出的一个反映自发过程不可逆性的物质状态参量。热力学第二定律是根据大量观察结果总结出来的规律:在孤立系统中,体系与环境没有能量交换,体系总是自发地像混乱度增大的方向变化,总使整个系统的熵值增大,此即熵增原理。摩擦使一部分机械能不可逆地转变为热,使熵增加,所以说整个宇宙可以看作一个孤立系统,是朝着熵增加的方向演变的。
参考资料来源:
熵的通俗解释是混乱度的度量单位,一个系统的混乱度越高它的熵就越高。
熵的含义:
1、样本集合不纯度,熵越小,集合不纯度越低。
2、知识的不确定性,熵越小,不确定性越小。
3、系统的复杂度,熵越大,系统越复杂。
熵增现象理解熵
尽管我们还是很难理解熵,不过熵增现象在我们生活中比比皆是。
系统由有序转变为无序被的过程是熵增,比如系的鞋带会开;家中铺的很整齐的床单睡过后会变乱...这都是熵增现象。
概念:“热力学第二定律”热量可以自发地从较热的物体传递到较冷的物体,但不可能自发地从较冷的物体传递到较热的物体。
比如一滴墨滴进清水,清水会变黑;一个热的物体和一个冷的物体放在一起,热的物体会变冷,冷的物体会变热.....物理系统总是会趋向平衡状态。
一个系统的温度是不均匀的,它慢慢趋向均匀;一个溶液的浓度是不均匀的,同样它会慢慢趋向均匀。

扩展资料
历史:
克劳修斯(T.Clausius) 于1854年提出熵(entropie)的概念, 我国物理学家胡刚复教授于1923年根据热温商之意首次把entropie译为“熵”。
熵定律确立不久,麦克斯韦(J.C.Maxwell)就对此提出一个有名的悖论试图证明一个隔离系统会自动由热平衡状态变为不平衡。
实际上该系统通过麦克斯韦妖的工作将能量和信息输入到所谓的“隔离系统”中去了。这种系统实际是一种“自组织系统”。
以熵原理为核心的热力学第二定律, 历史上曾被视为堕落的渊薮。
美国历史学家亚当斯H.Adams(1850-1901)说:“这条原理只意味着废墟的体积不断增大”。有人甚至认为这条定律表明人种将从坏变得更坏,最终都要灭绝。
热力学第二定律是当时社会声誊最坏的定律。社会实质上不同于热力学上的隔离系统,而应是一种“自组织系统”。
参考资料:
熵,热力学中表征物质状态的参量之一,用符号S表示,其物理意义是体系混乱程度的度量。
熵有以下几种性质:
1、熵S是状态函数,具有加和(容量)性质,是广度量非守恒量,因为其定义式中的热量与物质的量成正比,但确定的状态有确定量。其变化量ΔS只决定于体系的始终态而与过程可逆与否无关。
由于体系熵的变化值等于可逆过程热温商δQ/T之和,所以只能通过可逆过程求的体系的熵变。孤立体系的可逆变化或绝热可逆变化过程ΔS=0。
2、熵是宏观量,是构成体系的大量微观离子集体表现出来的性质。它包括分子的平动、振动、转动、电子运动及核自旋运动所贡献的熵,谈论个别微观粒子的熵无意义。
3、熵的绝对值不能由热力学第二定律确定。可根据量热数据由第三定律确定熵的绝对值,叫规定熵或量热法。还可由分子的微观结构数据用统计热力学的方法计算出熵的绝对值,叫统计熵或光谱熵。

扩展资料
1865年德国物理学家克劳修斯提出了熵的概念,最初是用来描述“能量退化”的物质状态参数之一,在热力学中有广泛的应用。
1877年左右,玻尔兹曼提出熵的统计物理学解释。他在一系列论文中证明了:系统的宏观物理性质,可以认为是所有可能微观状态的等概率统计平均值。
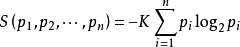
1948年,香农将统计物理中熵的概念,引申到信道通信的过程中,从而开创了”信息论“这门学科。香农定义的“熵”又被称为“香农熵” 或 “信息熵”, 即

其中i标记概率空间中所有可能的样本,

表示该样本的出现几率,K是和单位选取相关的任意常数。
参考资料:
熵,热力学中表征物质状态的参量之一,用符号S表示,其物理意义是体系混乱程度的度量。
熵(希腊语:entropia 英语:entropy)的概念是由德国物理学家克劳修斯于1865年所提出。在希腊语源中意为“内在”,即“一个系统内在性质的改变”,公式中一般记为S。
1923年,德国科学家普朗克(Plank)来中国讲学用到entropy这个词,胡刚复教授翻译时灵机一动,把“商”字加火旁来意译“entropy”这个字,创造了“熵”字,(读shāng),因为熵变dS是dQ除以T(温度)的商数。
例如:熔解一种固体,它熔化时所需要的热量除以熔点温度就是它的熵增加量。因此,熵的单位是卡/摄氏度。

扩展资料:
熵的性质:
1、熵S是状态函数,具有加和(容量)性质,是广度量非守恒量,因为其定义式中的热量与物质的量成正比,但确定的状态有确定量。其变化量ΔS只决定于体系的始终态而与过程可逆与否无关。
2、熵是宏观量,是构成体系的大量微观离子集体表现出来的性质。它包括分子的平动、振动、转动、电子运动及核自旋运动所贡献的熵,谈论个别微观粒子的熵无意义。
3、熵的绝对值不能由热力学第二定律确定。可根据量热数据由第三定律确定熵的绝对值,叫规定熵或量热法。还可由分子的微观结构数据用统计热力学的方法计算出熵的绝对值,叫统计熵或光谱熵。
参考资料来源:
